Information Processing
Pessimism of the Intellect, Optimism of the Will Favorite posts Twitter: @hsu_steve
Wednesday, December 19, 2018
IceCube: neutrino astronomy in Antarctica
Tyce DeYoung (MSU Department of Physics and Astronomy) colloquium on high-energy astrophysics and exploration of the high-energy universe with the IceCube neutrino detector at the South Pole. Several MSU professors are part of the IceCube collaboration.
I predict very exciting developments in neutrino astronomy in the coming decade ;-)
The situation is similar to that for LIGO ~5 years ago. Events of significant scientific interest have already been seen with the detector at small (here small means instrumenting a cubic kilometer of ice!) fiducial volume. At a higher volume (10x or more scale up in IceCube anticipated upgrade), we therefore expect a robust new kind of astronomy to emerge, using a never before available probe of the universe -- for IceCube, high energy neutrinos, for LIGO, gravity waves. In both cases new insights into astrophysical black holes (and perhaps other very exotic objects) are likely to emerge.
Note the scale of the experiment in the image below -- in units of Eiffel Towers :-)
Tuesday, December 18, 2018
A Realist Appraisal of US Foreign Policy
An evenhanded realist appraisal of US foreign policy going back to the end of the Cold War.
Topics addressed: Should we have extended NATO to the east of Germany, despite promises made to Gorbachev by GHWB? Should we have supported PRC WTO accession? Should we have invaded Iraq after 9/11? Hasn't Obama openly admitted that what we did in Libya and Syria (thanks, Hillary!) recently was a tragic disaster? Trump's trade war, Populism and Democracy, Why are our foreign policy elites so stupid -- is there no penalty for being wrong again and again? (He doesn't really answer the last question -- it's mine.)
Wikipedia: Stephen Martin Walt (born July 2, 1955) is an American professor of international affairs at Harvard University's John F. Kennedy School of Government. He belongs to the realist school of international relations.Walt and University of Chicago political scientist Stephen Mearsheimer endured significant blowback for their too-realistic 2007 book The Israel Lobby and U.S. Foreign Policy.
Walt was born in Los Alamos, New Mexico, where his father, a physicist, worked at Los Alamos National Laboratory. ... Walt pursued his undergraduate studies at Stanford University. ... After attaining his B.A., Walt began graduate work at UC Berkeley, graduating with a M.A. in Political Science in 1978, and a Ph.D. in Political Science in 1983.
Monday, December 17, 2018
Advances in Genomic Prediction: Breast Cancer Risk
This is a new paper on polygenic prediction for breast cancer by a large collaboration that has been working for many years on GWAS and, more recently, genomic risk prediction.
"The lifetime risk of overall breast cancer in the top centile of the PRSs was 32.6%" !
Polygenic Risk Scores for Prediction of Breast Cancer and Breast Cancer SubtypesNote 10-25x (ER-positive and -negative) range of risk between lowest and highest percentile PRS score.
https://www.cell.com/ajhg/fulltext/S0002-9297(18)30405-1
Stratification of women according to their risk of breast cancer based on polygenic risk scores (PRSs) could improve screening and prevention strategies. Our aim was to develop PRSs, optimized for prediction of estrogen receptor (ER)-specific disease, from the largest available genome-wide association dataset and to empirically validate the PRSs in prospective studies. The development dataset comprised 94,075 case subjects and 75,017 control subjects of European ancestry from 69 studies, divided into training and validation sets. Samples were genotyped using genome-wide arrays, and single-nucleotide polymorphisms (SNPs) were selected by stepwise regression or lasso penalized regression. The best performing PRSs were validated in an independent test set comprising 11,428 case subjects and 18,323 control subjects from 10 prospective studies and 190,040 women from UK Biobank (3,215 incident breast cancers). For the best PRSs (313 SNPs), the odds ratio for overall disease per 1 standard deviation in ten prospective studies was 1.61 (95%CI: 1.57–1.65) with area under receiver-operator curve (AUC) = 0.630 (95%CI: 0.628–0.651). The lifetime risk of overall breast cancer in the top centile of the PRSs was 32.6%. Compared with women in the middle quintile, those in the highest 1% of risk had 4.37- and 2.78-fold risks, and those in the lowest 1% of risk had 0.16- and 0.27-fold risks, of developing ER-positive and ER-negative disease, respectively. Goodness-of-fit tests indicated that this PRS was well calibrated and predicts disease risk accurately in the tails of the distribution. This PRS is a powerful and reliable predictor of breast cancer risk that may improve breast cancer prevention programs.
One of the senior authors (Paul Pharoah of Cambridge) details the history of his work on genetics of breast cancer in a tweet thread. He describes historical progress from simple GWAS associations to full-blown genomic prediction:
1/n This paper has been many years in the making both conceptually and in terms of the time to generate the data. It has been part of almost all my scientific life (or at least since I started my PhD).My small team of physicists has constructed a breast cancer predictor of similar power using UKBB data and our own automated ML pipeline :-)
...
11/n This PRS is now being used in an EU funded trial of risk stratified screening. It is the culmination of many years of many people working together on samples donated by hundreds of thousands of patients.
https://twitter.com/paulpharoah/status/1073677455372759041
See earlier post Advances in Genomic Prediction.
Friday, December 14, 2018
The Future of the U.S. Aircraft Carrier: Fearsome Warship or Expensive Target? (Heritage Panel; video)
This is a Heritage Foundation panel on the future of the aircraft carrier. The discussion addresses, in part, the possibility that in a peer-competitor conflict aircraft carriers will have to operate 1000 miles offshore (range of the PRC DF21 anti-ship ballistic missile; the DF26 may have twice the reach), requiring a new class of (perhaps unmanned) aircraft with greater range than, e.g., the F35 fighter. The focus on ASBM like the DF21 might have been too narrow, as both PRC and Russia have equally dangerous ASCM (anti-ship cruise missle) capability.
The basic problem is that aircraft carriers are easy to detect (e.g., satellite imaging via optical or radar sensors) and missiles (especially those with maneuver capability) are very difficult to stop. Advances in AI / machine learning tend to favor missile targeting, not defense of carriers.
For previous discussion of these issues, see these posts.
The Future of the U.S. Aircraft Carrier: Fearsome Warship or Expensive Target?
Over 70 years ago, U.S. Navy aircraft carriers supplanted battleships as preeminent warship with their ability to strike enemy warships or land targets hundreds of miles away. Since World War II, U.S. aircraft carriers and the carrier air wing have operated relatively unthreatened, providing unrivaled air support and power projection capability in every U.S. conflict. Recently, an increasing number of critics are predicting the end of the aircraft carrier era. They cite the growing threats from anti-ship missiles, such as China’s DF-21D “carrier killer”; the proliferation of increasingly quieter attack submarines; and advanced integrated air and missile defense capabilities. They also argue that current carrier strike fighter aircraft and their weapons lack sufficient range to engage targets in a denied/degraded environment. Aircraft carrier proponents argue that a modern U.S. supercarrier uniquely provides a globally deployable U.S. airfield that can rapidly respond to emergent crises and does not depend the approval of any host nation. While they acknowledge the increased threats to the carrier strike group and its air wing, they argue that introduction of the fifth generation F-35, long-range unmanned carrier-based tankers, advanced weapons and electronic warfare systems, and the employment of new operational tactics will enable the aircraft carrier to remain relevant for the foreseeable future. Can the new USS FORD-class aircraft carrier and a modernized carrier air wing provide effective sea-based power projection against near-peer competitors like Russia and China, should the U.S. Navy develop smaller aircraft carriers with new weapons systems and carrier aircraft to meet these 21st Century threats, or should the U.S. move on from the aircraft carrier?
Monday, December 10, 2018
Music and Mathematics: Noam Elkies
Dinner with two old Harvard friends -- mathematician Noam Elkies and MSU physicist Dean Lee. Noam is in town this week to give a lecture, a colloquium, and perform a piano recital.
At 26 Noam became the youngest full professor in Harvard history, and the youngest to ever receive tenure. He has an amazing Wikipedia entry :-)
In 1981, at age 14, he was awarded a gold medal at the 22nd International Mathematical Olympiad, receiving a perfect score of 42 and becoming one of just 26 participants to attain this score,[3] and one of the youngest ever to do so. Elkies graduated from Stuyvesant High School in 1982[4][5] and went on to Columbia University, where he won the Putnam competition at the age of sixteen years and four months, making him one of the youngest Putnam Fellows in history.[6] He was a Putnam Fellow two more times during his undergraduate years. After graduating as valedictorian at age 18 with a summa cum laude in Mathematics and Music, he earned his Ph.D. at the age 20 under the supervision of Benedict Gross and Barry Mazur at Harvard University.[7]Noam, Dean, and I are all veterans of the Malkin Athletic Center weight room, when it was old-school and gritty :-)
From 1987 to 1990 he was a junior fellow of the Harvard Society of Fellows.[8]
In 1987, he proved that an elliptic curve over the rational numbers is supersingular at infinitely many primes. In 1988, he found a counterexample to Euler's sum of powers conjecture for fourth powers.[9] His work on these and other problems won him recognition and a position as an associate professor at Harvard in 1990.[4] In 1993, he was made a full, tenured professor at the age of 26. This made him the youngest full professor in the history of Harvard.[10] Along with A. O. L. Atkin he extended Schoof's algorithm to create the Schoof–Elkies–Atkin algorithm.
Here's an earlier version of the talk Noam gave tonight. Video should start with him constructing a canon from thin air!
Sunday, December 09, 2018
Paris 2018: Global Capital and Its Discontents
Is she shooting video of the riot outside, or is she video chatting with a friend, oblivious? Did she just have the Royale with Cheese? :-)
My suggested title is Global Capital and Its Discontents.
Amazing work by this photographer.
Paris in happier times.
“If you are lucky enough to have lived in Paris as a young man, then wherever you go for the rest of your life, it stays with you, for Paris is a moveable feast.” ― Ernest Hemingway, A Moveable Feast
A meal by the Seine.

Les Deux Magots.

Le Louvre.



View from Sacre Coeur.
Friday, December 07, 2018
Crude Awakening: The Yuan, the Dollar, and the Battle for Global Supremacy
Yuan-Dollar-Oil discussion starts about 20min in. Any professionals want to weigh in?
In the past the main drivers of oil prices were supply-demand and dollar confidence (all transactions in dollars). Now you can add dollar-yuan fx factors... even gold.
Have idiots screaming about Khashoggi thought about what happens if Saudi starts accepting Yuan for oil, as Russia, Iran, and Venezuela do now?
See also On the military balance of power in the Western Pacific.
Wednesday, December 05, 2018
The Quantum Theory of Fields
Excerpt from Sidney Coleman's Erice lectures. The period he describes just predates my entry into physics.
This was a great time to be a high-energy theorist, the period of the famous triumph of quantum field theory. And what a triumph it was, in the old sense of the word: a glorious victory parade, full of wonderful things brought back from far places to make the spectator gasp with awe and laugh with joy. I hope some of that awe and joy has been captured here.Physics students learn quantum mechanics and special relativity as undergraduates, but typically do not encounter a synthesis of the two until graduate school, in a course on quantum field theory. Undergraduate quantum mechanics focuses on non-relativistic particles, moving at much less than the speed of light (e.g., the electrons in atomic systems or ordinary matter). Special relativity, as first encountered by students, is a modification of Newtonian (classical) mechanics, and ignores quantum effects.
In quantum field theory (QFT), the wave function of quantum mechanics Ψ(x) becomes a wave functional Ψ[ Φ(x) ], valued over field configurations Φ(x) which are themselves functions of spacetime coordinates. Individual particles are excitations ("quanta") of quantum fields. I think it is fair to say that almost no student really gets a deep understanding of quantum field theory when they take it for the first time. It is simply too complex to digest quickly. QFT introduces new intuitive pictures, novel calculational tricks, strange physical and mathematical constructs.
And how could it be otherwise? All of these tools are necessary to make sense of the generalization of ordinary quantum mechanics (of a finite number of degrees of freedom) to a physical system with an infinite number of degrees of freedom.
I first took quantum field theory (Physics 205) in my last year at Caltech, taught by Fredrik Zachariasen. Zachariasen used Bjorken and Drell I and II and Ramond as the main textbooks. He was what Russian theorists sometimes refer to as a "strong calculator" -- he would fill the blackboard with equations as fast as we could note them down. However, I would say his approach to the subject was rather old-fashioned by that time, and while I learned a good bit about the Dirac equation, spinors, how to compute Feynman diagrams, and even about path integrals, my overall understanding of the subject was still lacking. If I had been there the following year I would have enjoyed John Preskill's version of 205 (see below), but alas I was already in graduate school by then.
I remember that I also studied Feynman's short volume (in the Frontiers in Physics series; not to be confused with his later popular book) Quantum Electrodynamics. I was very confused at the time about the relationship between particles and fields and about so-called Second Quantization. Also, what happened to the Schrodinger equation? At no point did Zachariasen (nor, I think, do Bjorken and Drell) clarify that while Dirac deduced his equation via relativistic generalization of Schrodinger's, the two are not on the same logical footing.
It was only some years later that I realized that Feynman himself had been confused about these things when he wrote his early papers on the subject. (Feynman, when someone explained a creation operator and Fock space to him: "How can you create an electron? It disagrees with conservation of charge!") Do Feynman diagrams describe spacetime trajectories of particles? Or are they simply graphical representations of terms in a perturbative expansion that happen to correspond, intuitively but not exactly, to physical processes?
As a first year graduate student at Berkeley I took Physics 230 from Stanley Mandelstam, a true master of the subject. This course was far more theoretical than the one I had taken the previous year. Amazingly, Stanley taught without notes. The only day he brought a single page of paper to class was when he covered the BPHZ proof of renormalizability. (Or was it the day he derived the beta function for non-Abelian gauge theories? I might be conflating two different instances.) His lectures followed no specific textbook, although the recommended one was probably Itzykson and Zuber.
My final student encounter with a QFT course was as the grader for Physics 230, taught by Martin Halpern. (I am sad to discover, in finding this link, that Marty passed away earlier this year.) Marty was a high strung chain smoker, and I recall many hours in his office going over solutions to his homework problems. He was especially on edge that fall because Vaughan Jones from the math department (who was about to share the Fields Medal with Ed Witten!) had decided to learn QFT and was sitting in on the class. As might be expected, the mathematician's insistence on clarity and precision slowed Marty down significantly. This wasn't Marty's fault -- QFT has not, even today, been placed on a completely rigorous footing (at least, not to the satisfaction of mathematicians), even though it is (in the form of Quantum Electrodynamics and the Standard Model) the most precisely tested theoretical construct in science.
This post is long enough. Perhaps I will revisit the topic in the future with a discussion of Sidney Coleman's lectures on QFT at Harvard, where I went after graduate school. It's nice to see that these lectures have been rendered into a book by his former students. For many years one could check out videotapes (Sony Betamax!) of his lectures from the physics library at Harvard. This made me think, even then, that the future of many professors might someday be as glorified teaching assistants, helping to explain and clarify recorded or streamed lectures by the true masters.
If I have kindled your interest in the subject, I recommend my friend Tony Zee's book: Quantum Field Theory in a Nutshell. Also, John Preskill's fantastic lecture notes, covering basic as well as advanced topics. It took me some time to learn to decipher his handwriting, but it was worth it!
Let me end by noting that the physics students who took these classes with me are quite a remarkable group. Among them are a number of well-known theoretical physicists, as well as the odd startup founder, AI researcher, or hedge fund billionaire. You could do worse in this life than get to know some students of quantum field theory :-)
Trading Blows: The US-China Trade War (Yukon Huang)
Watch this at 1.5x speed so that the next time you discuss US-China competitive issues you won't say things that are factually incorrect. (Not that I agree with everything Huang says but overall content is good...)
Yukon Huang is a senior fellow with the Asia Program. He was formerly the World Bank’s country director for China and earlier director for Russia and the Former Soviet Union Republics. He is an adviser to the World Bank, Asian Development Bank, Asian Infrastructure Investment Bank, and various governments and corporations. His research focuses on China’s economy and its regional and global impact.
Huang has published widely on development issues in both professional journals and the public media. He is a featured commentator for the Financial Times on China, and his articles are seen frequently in the Wall Street Journal, Bloomberg, Foreign Affairs, the National Interest, and Caixin. His books include East Asia Visions, Reshaping Economic Geography in East Asia, and International Migration and Development in East Asia and the Pacific. His latest book, Cracking the China Conundrum: Why Conventional Economic Wisdom Is Wrong, was published by Oxford University Press (2017).
He has a PhD in economics from Princeton University and a BA from Yale University.
Monday, December 03, 2018
The Future of IVF and Gene-Editing (Psychology Today interview)
The excerpt below is from an interview with Psychology Today.
The Future of In-Vitro Fertilization and Gene Editing (Psychology Today)
"The Eminents" interview with Stephen Hsu.
...
MN: Would you explain polygenic complex traits embryo selection in more detail?
SH: Most human traits (e.g., height or cognitive ability) and most disease risks (e.g., for diabetes or heart disease) are polygenic -- they depend on many different genetic loci. For the first time, thanks to very large datasets and advances in AI / machine learning, we have genomic predictors for these traits. Our height predictor is accurate to a few cm! Individuals who are outliers for risk -- for example, have 5 or 10 times greater probability of heart disease than the typical person -- can now be identified using inexpensive genotyping.
Many although not all parents using IVF are confronted by an “embryo choice” problem: They have more viable embryos than they intend to use. For these parents, it is useful to have additional information about each embryo, such as whether it is at high risk for certain health conditions. Each year, a million embryos are genetically screened worldwide. Most of the time, this is just a screen for chromosomal normality (e.g., against Down’s Syndrome), but with better technology, we can screen against many mutations and complex disease risks.
MN: What ethical safeguards need to be in place before this kind of technology is put to use?
SH: The birth of the gene-edited baby girls has brought this issue to the forefront. While bioethicists and researchers have already thought through many of the ethical questions (the obvious criteria are safety, effectiveness, and benefit to the child, as well as implementation that would ensure net benefit to society, for example, the procedure’s cost being covered by health insurance provided to the poor), the average person has not. It seems important that there be a high level of public understanding of and consensus about these new technologies before widespread use.
However, It is probably too much to ask that each country come to the same conclusions as to what is permissible or best. Hence I think we will see a patchwork of legal and regulatory practices.
MN: Since this is Psychology Today I want to ask about cognitive ability and personality traits. Can we predict these from genotype? How will this be used in IVF?
SH: From genotype, we can predict cognitive ability (i.e., IQ) with correlation r ~ 0.3 to 0.4, which is as well as standardized tests like SAT or ACT predict college performance. This is nowhere near the accuracy of, for example, height prediction. However, despite the SAT's only moderate accuracy, it is easy to understand why colleges are reluctant to admit students with low (say, bottom 10%) scores, and generally very enthusiastic about students with high scores. It’s similar with the current genomic predictors. We can identify embryos that have unusually high risk of intellectual disability but we can’t reliably rank-order embryos that are in the normal range.
At the moment, the situation is even worse for predicting Big-5 personality traits, such as conscientiousness or extraversion, even though we know those traits are fairly heritable. I expect the situation for all psychological traits to improve drastically in the near future as more data become available.
At present, we can apply genomic prediction to cognitive traits in the same way we apply it to disease risk -- to warn parents about embryos that are outliers in risk. In the future, we may be able to rank-order embryos, although this would raise further important ethical issues that need to be explored. By comparison, we’ve found in our testing that we correctly predict height ordering between two same-sex siblings 80 to 90 percent of the time. I don’t see any reason we won’t get to this point with IQ, but it may take some years.
MN: Tell me something about yourself that people might find surprising.
SH: I’m a huge fan of Mixed Martial Arts (MMA) and jiujitsu. I learned judo growing up, and got into Brazilian jiujitsu and MMA in the early 1990s when the UFC first started. I trained pretty seriously in the US and Japan, including with some professional fighters. Jiujitsu is like chess with the human body -- move and countermove, dominate position, then force a submission.
Perhaps the most beautiful thing about jiujitsu is that one can submit the opponent without either getting hurt. It would be great if intellectual / scientific disagreements worked the same way :-)
Wednesday, November 28, 2018
He did it: He Jiankui talk at HKU conference on gene editing
This is He's talk from a conference on gene editing, in progress now in HK. (Should start at 1h09.)
This article describes serious discussions between He and bioethicists over the last year.
CapEx required for this process is quite modest -- not beyond the capability of a medium-sized IVF clinic. The CRISPR vector was purchased, IIUC, for about $100!
The choice of CCR5 is not well motivated, from the perspective of most bioethicists: there are other ways to prevent HIV, and the edit could be regarded as an enhancement, not elimination of a disease allele.
@1h25 He claims that the parents were given the option to use unedited embryos for their pregnancy but chose to use the edited ones. (This decision was made even after being informed of the existence of a possible off-target edit in an inter-genic region. The possible off-target was not confirmed by later analysis.) If true, this has some important ethical implications. The problem becomes one of parental choice and reproductive freedom. IIUC, the father has rather strong feelings concerning HIV (being HIV positive) and the parents strongly desired HIV-resistance in their daughters. Who are we (or anyone else) to tell the parents whether to use the edited or unedited embryos?
Note it's possible I misunderstood what He said in his talk. There is a Twitter exegesis here, and a transcript here. I'm not sure I understood properly whether the intended edit was successful -- one embryo displayed mosaicism (not subsequently detected)?
Some comments I've shared with journalists and other interested parties below.
Re: Gene-editing using CRISPR, not a technical breakthrough -- it has been possible for some time. What is new is that someone had the audacity to push it to completion with human embryos. Some researchers who attended He's talk a few months ago at Cold Spring Harbor (the talk covered methodology but with no hint that real babies would be produced) found it sound but unremarkable.See previous discussion Generation CRISPR?
In the near term most applications of CRISPR in IVF can already be accomplished simply by screening (genetic testing) against the undesirable genetic variant. No need to edit, just select one of the embryos without the variant.
With CRISPR one can potentially edit IN new genetic variants that neither parent has. This "enhancement" is much more ethically questionable, but may eventually happen. However it can only be done
with simple single-gene conditions.
Eventually we may have the technology to do multiple (hundreds?) of edits at a time, which will allow modification of polygenic traits. (Most traits are highly polygenic.) But this requires us to first identify actual causal variants (as opposed to variants used in a predictor that merely *correlate* strongly with the causal ones). This is a difficult scientific problem that may take a decade or more to solve. Predicting a complex trait is much easier than modifying it -- hence selection will dominate editing in utility for some time.
It is possible that gene editing will "normalize" selection of embryos as a less aggressive course of action!
At the same conference, George Daley, Dean of Harvard Medical School, advocates for a responsible pathway to clinical translation for gene editing.
George Church interview on what He did.
Monday, November 26, 2018
Generation CRISPR?
Very strange. This guy left his university a few years ago to concentrate on this research. Are his claims real?
Genome-edited baby claim provokes international outcry (Nature News)See also MIT Technology Review:
The startling announcement by a Chinese scientist represents a controversial leap in the use of genome-editing.
A Chinese scientist claims that he has helped make the world's first genome-edited babies — twin girls who were born this month. The announcement has provoked shock, and some outrage, among scientists around the world.
He Jiankui, a genome-editing researcher from the Southern University of Science and Technology of China in Shenzhen, says that he implanted into a woman an embryo that had been edited to disable the genetic pathway that allows a cell to be infected with HIV.
In a video posted to YouTube, He says the girls are healthy and now at home with their parents. Genome sequencing of their DNA has shown that the editing worked, and only altered the gene they targeted, he says.
...
The Chinese scientist who claims he made CRISPR babies is under investigation
He, who led that effort, later released a video statement in which he said that healthy twin girls, Lulu and Nana, had been born “a few weeks ago.”
He said the girls had been conceived using IVF but that his team had added “a little protein and some information” to the fertilized eggs. That was a reference to the ingredients of CRISPR, the gene-editing technology he apparently employed to delete a gene called CCR5.
The claim set off a wave of criticism in China and abroad from experts who said the experiment created unacceptable risks for a questionable medical purpose. Feng Zhang, one of the inventors of CRISPR, called for a moratorium on its use in editing embryos for IVF procedures.
Documents connected to the trial named the study’s sponsors as He along with Jinzhou Qin and said it was approved by the ethics committee of HarMoniCare Shenzhen Women and Children’s Hospital.
On Sunday, the Shenzhen City Medical Ethics Expert Board said it would begin an investigation of He’s research and released a statement saying that HarMoniCare “according to our findings … never conducted the appropriate reporting according to requirements.” The former medical director of the private hospital, Jiang Su-Qi, told Southern Capital News he had no recollection of approving He’s research while he was on its ethics committee.
...
The president of He’s university called an emergency gathering of researchers connected to the project. “This has nothing to do with SUST, the research wasn’t conducted at SUST,” said SUST president Chen Shiyi, according to Chinese media reports. According to the school’s biology department, the research “seriously violates ethical and academic standards and regulations.” ...
Regarding the use of CRISPR in human reproduction, here is my tweet from earlier today:
We will see single gene applications of CRISPR in near future, but identifying causal variants for complex traits / disease risks (necessary prerequisite for more advanced applications) will take significant effort and many years (my guess, perhaps a decade)... https://t.co/DdzPCkqeW0— steve hsu (@hsu_steve) November 26, 2018
Here is what I wrote in 2014 about editing vs selection of embryos:
... the distinction between embryo selection -- the parents get a baby whose DNA originates from them, but the "best baby possible" -- and active genetic editing, which can give the child genes that neither parent had.
The movie GATTACA focuses on selection -- the director made a deliberate decision to eliminate reference to splicing or editing of genes. (Possibly because Ethan Hawke's character Vincent would have no chance competing against edited people.)
At SCI FOO, George Church seemed confident that editing would be an option in the near future. He is convinced that off-target mutations are not a problem for CRISPR. I have not yet seen this demonstrated in the literature, but of course George knows a lot more than what has been published. (Warning: I may have misunderstood his comments as there was a lot of background noise when we were talking.)
One interesting genetic variant (Lrp5?) that I learned about at the meeting, of obvious interest to future splicers and editors, apparently conveys an +8 SD increase in bone strength!
My views on all of this:
... given sufficient phenotype|genotype data, genomic prediction of traits such as cognitive ability will be possible. If, for example, 0.6 or 0.7 of total population variance is captured by the predictor, the accuracy will be roughly plus or minus half a standard deviation (e.g., a few cm of height, or 8 IQ points). The required sample size to extract a model of this accuracy is probably on the order of a million individuals. As genotyping costs continue to decline, it seems likely that we will reach this threshold within five years for easily acquired phenotypes like height (self-reported height is reasonably accurate), and perhaps within the next decade for more difficult phenotypes such as cognitive ability. At the time of this writing SNP genotyping costs are below $50 USD per individual, meaning that a single super-wealthy benefactor could independently fund a crash program for less than $100 million.Here is the version of the GATTACA scene that was cut. The parents are offered the choice of edited or spliced genes conferring rare mathematical or musical ability.
Once predictive models are available, they can be used in reproductive applications, ranging from embryo selection (choosing which IVF zygote to implant) to active genetic editing (e.g., using powerful new CRISPR techniques). In the former case, parents choosing between 10 or so zygotes could improve their expected phenotype value by a population standard deviation. For typical parents, choosing the best out of 10 might mean the difference between a child who struggles in school, versus one who is able to complete a good college degree. Zygote genotyping from single cell extraction is already technically well developed [25], so the last remaining capability required for embryo selection is complex phenotype prediction. The cost of these procedures would be less than tuition at many private kindergartens, and of course the consequences will extend over a lifetime and beyond.
The corresponding ethical issues are complex and deserve serious attention in what may be a relatively short interval before these capabilities become a reality. Each society will decide for itself where to draw the line on human genetic engineering, but we can expect a diversity of perspectives. Almost certainly, some countries will allow genetic engineering, thereby opening the door for global elites who can afford to travel for access to reproductive technology. As with most technologies, the rich and powerful will be the first beneficiaries. Eventually, though, I believe many countries will not only legalize human genetic engineering, but even make it a (voluntary) part of their national healthcare systems [26]. The alternative would be inequality of a kind never before experienced in human history.
Saturday, November 24, 2018
Spygate in 20 minutes
Bongino (former federal agent and TV/podcast personality) gives a very clear and entertaining overview of Spygate: the illegal use of government surveillance powers against an opposition political candidate (Donald Trump). I agree with Bongino that this is the biggest political scandal in the modern era, orders of magnitude beyond Watergate. But because the story is complicated and has been largely covered up (as much as possible) by the media, few people understand what actually happened. You can get the gist of it in 20 minutes from the video. (Real content starts @6min or so.)
As Bongino states, the factual claims in his talk can all be sourced from reporting by "mainstream" news outlets such as CNN, NYTimes, WSJ, or from government documents such as the declassified (2017) FISC report on abuses of surveillance powers. But you will not find them all in one place as you do in the video (or on my blog).
See Deep State Update (May 2018):
It's been clear for well over a year now that the Obama DOJ-FBI-CIA used massive surveillance powers (FISA warrant, and before that, national security letters and illegal contractor access to intelligence data) against the Trump campaign. In addition to SIGINT (signals intelligence, such as email or phone intercepts), we now know that HUMINT (spies, informants) was also used.
Until recently one could still be called a conspiracy theorist by the clueless for stating the facts in the paragraph above. But a few days ago the NYTimes and WaPo finally gave up (in an effort to shape the narrative in advance of DOJ Inspector General report(s) and other document releases that are imminent) and admitted that all of these things actually happened. The justification advanced by the lying press is that this was all motivated by fear of Russian interference -- there was no partisan political motivation for the Obama administration to investigate the opposition party during a presidential election.
If the Times and Post were dead wrong a year ago, what makes you think they are correct now?
Thursday, November 22, 2018
Contingency, History, and the Atomic Bomb: Alexander Sachs
[ Financier Alexander Sachs, Look Magazine, March 14, 1950. Article: How FDR Planned to use the A-Bomb ]
Last month I received an astonishing email, partly excerpted below.
Stephen,From Contingency, History, and the Atomic Bomb (excerpt from Jungk):
By way of introduction, my grandfather, General Groves, led the Manhattan Project. I’m now working on a documentary series about the making of the bomb.
I first came across Robert Jungk’s account of the Sachs-FDR meetings not in Jungk's book, but in your “Contingency, History, and the Atomic Bomb” posting online. Thank you.
It’s an important episode that appears in almost none of the histories, Rhodes’ Making of the Atomic Bomb included. And it’s relevant: anyone who has had to pitch a complicated idea or project knows that getting the initial approval and funding can be more challenging than completing the work proposed.
I’ve since found quite a bit of material pertaining to the story. I thought you might find it interesting.
...
I imagine some graduate history, science, or economics student could turn this into a PhD thesis. (Why did FDR always have time for Sachs? I see some hints that Sachs may have been ahead of his time in macroeconomics.) Or – Szilard and Wigner’s efforts to get the matter in front of FDR could be a management case study.
Anyway, thank you for posting the story. The full version will definitely make it into my production.
Dick Groves
How Alexander Sachs, acting on behalf of Szilard and Einstein, narrowly convinced FDR to initiate the atomic bomb project. History sometimes hangs on a fragile thread: had the project been delayed a year, atomic weapons might not have been used in WWII. Had the project completed a year earlier, the bombs might have been used against Germany.Sachs was a trusted but largely anonymous advisor to Roosevelt. He advised Roosevelt through the Great Depression and foresaw the rise of Hitler and the military threat from Germany. From the profile in Look Magazine:
See also A Brief History of the Future, as told to the Masters of the Universe.
... It was nearly ten weeks before Alexander Sachs at last found an opportunity, on October 11, 1939, to hand President Roosevelt, in person, the letter composed by [Leo] Szilard and signed by [Albert] Einstein at the beginning of August [1939]. In order to ensure that the President should thoroughly appreciate the contents of the document and not lay it aside with a heap of other papers awaiting attention, Sachs read to him, in addition to the message and an appended memorandum by Szilard, a further much more comprehensive statement by himself. The effect of these communications was by no means so overpowering as Sachs had expected. Roosevelt, wearied by the prolonged effort of listening to his visitor, made an attempt to disengage himself from the whole affair. ...
Sachs, however, was able, as he took his leave, to extort from the President the consolation of an invitation to breakfast the following morning. "That night I didn't sleep a wink," Sachs remembers.
...
[ The next morning, at the White House ]
After Sachs finished speaking the President remained silent for several minutes. Then he wrote something on a scrap of paper and handed it to the servant who had been waiting at table. The latter soon returned with a parcel which, at Roosevelt's order, he began slowly to unwrap. It contained a bottle of old French brandy of Napoleon's time, which the Roosevelt family had possessed for many years. The President, still maintaining a significant silence, told the man to fill two glasses. Then he raised his own, nodded to Sachs and drank to him.
Next he remarked: "Alex, what you are after is to see that the Nazis don't blow us up?"
"Precisely."
It was only then that Roosevelt called in his attaché, [Brigadier] General [Edwin] "Pa" Watson, and addressed him—pointing to the documents Sachs had brought—in words which have since become famous:
"Pa, this requires action!
... only one word describes him: genius. A story about how he helped President Roosevelt to understand the atomic energy problem in 1939 throws light on why Dr. Sachs is so described. ...
... Schooled at Columbia and Harvard, he never left the school of self-education.
Dr. Alexander Sachs' career has been in economics, with a special emphasis on the mathematics of statistics. But the range of his intellectual interests embraces religion, science, history, and politics. ...
Tuesday, November 20, 2018
Super-smart designer babies (Guardian UK)
The title (likely chosen by an editor at The Guardian) is a bit disturbing. But the article itself is clear and insightful.
Super-smart designer babies could be on offer soon. But is that ethical?The writer is Philip Ball, a longtime editor at Nature and PhD in Physics.
... The company [ Genomic Prediction ] says it is only offering such testing to spot embryos with an IQ low enough to be classed as a disability, and won’t conduct analyses for high IQ.
... The development must be set, too, against what is already possible and permitted in IVF embryo screening. The procedure called pre-implantation genetic diagnosis (PGD) involves extracting cells from embryos at a very early stage and “reading” their genomes before choosing which to implant. It has been enabled by rapid advances in genome-sequencing technology, making the process fast and relatively cheap.
... before we get too indignant about the horrors of designer babies, bear in mind that already we permit, even in the UK, prenatal screening for Down’s syndrome, a disability that produces low to moderate intellectual disability. It’s not easy to make a moral or philosophical case that the screening offered by Genomic Prediction for low IQ is any different. There may be more uncertainty but, given not all IVF embryos will be implanted anyway, can we object to tipping the scales? And how can we condone efforts to improve your child’s intelligence after birth but not before?
The questions are complicated. How to balance individual rights against what is good for society as a whole? When does avoidance of disease and disability shade into enhancement? Should society be more receptive to disability rather than seeing it as something to be eradicated? When does choice become tyranny?
In the UK we are extraordinarily lucky to have the HFEA [Human Fertilisation and Embryology Authority], which frames binding regulation after careful deliberation and acts as a brake so the technology does not outrun the debate. “Embryo selection needs robust regulation that society can be confident in,” says Ewan Birney, director of the European Bioinformatics Institute in Cambridge. Leaving a matter such as this to unregulated market forces is dangerous.
The US does not have an HFEA. Here is what the Genomic Prediction FAQ says:
There is a formal bioethics position on this general subject, recently updated in 2018, written by the Ethics Committee of the American Society for Reproductive Medicine.
A key phrase from the paper:
PGD for adult-onset conditions is ethically justified when the condition is serious and no safe, effective interventions are available. It is ethically allowed for conditions of lesser severity or penetrance. The Committee strongly recommends that an experienced genetic counselor play a major role in counseling patients considering such procedures.
The recent burst of news coverage of Genomic Prediction was triggered by articles in The Economist and New Scientist. My earlier comments are reproduced below:
This Economist article on Genomic Prediction has been in waiting for weeks, to appear in The World in 2019 special issue. I spent a couple hours briefing their science team on what is coming in AI and genomics -- I would guess there will be more coverage of polygenic scores and health care in the future.
See also this New Scientist article on GP.
2019 may be the Year of the Designer Baby, if journos are to be believed ;-) Of course, this is sensationalism. It is more accurate to say that 2019 will see the first deployment of advanced genetic tests which can be used to screen against complex disease and health risks. Already today ~1 million IVF embryos per year are screened worldwide using less sophisticated genetic tests for single gene disease mutations and chromosomal abnormality.
The Economist:
In 2019, ... [ GP clients ] will have an opportunity to give their offspring a greater chance of living a long and healthy life.
"Expert" opinion seems to have evolved as follows:
1. Of course babies can't be "designed" because genes don't really affect anything -- we're all products of our environment!
2. Gulp, even if genes do affect things it's much too complicated to ever figure out!
3. Anyone who wants to use this technology (hmm... it works) needs to tread carefully, and to seriously consider the ethical issues.
Only point 3 is actually correct, although there are still plenty of people who believe 1 and 2 :-(
Wednesday, November 14, 2018
London / DeepMind photos
I've been very lucky with the London weather on this trip -- in the 50s and sunny.
These were taken from the roof terrace of the Google building that houses DeepMind:
These are from the nearby area: St. Pancras, Granary Square, in King's Cross.
More photos from the area.
Photos below from The Economist (also rooftop views of London, but not as posh as GOOG) and BBC visits.
This Economist article on Genomic Prediction has been in waiting for weeks, to appear in The World in 2019 special issue. I spent a couple hours briefing their science team on what is coming in AI and genomics -- I would guess there will be more coverage of polygenic scores and health care in the future.
See also this New Scientist article on GP.
2019 may be the Year of the Designer Baby, if journos are to be believed ;-) Of course, this is sensationalism. It is more accurate to say that 2019 will see the first deployment of advanced genetic tests which can be used to screen against complex disease and health risks. Already today ~1 million IVF embryos per year are screened worldwide using less sophisticated genetic tests for single gene disease mutations and chromosomal abnormality.
The Economist:
"Expert" opinion seems to have evolved as follows:
These were taken from the roof terrace of the Google building that houses DeepMind:
These are from the nearby area: St. Pancras, Granary Square, in King's Cross.
More photos from the area.
Photos below from The Economist (also rooftop views of London, but not as posh as GOOG) and BBC visits.
This Economist article on Genomic Prediction has been in waiting for weeks, to appear in The World in 2019 special issue. I spent a couple hours briefing their science team on what is coming in AI and genomics -- I would guess there will be more coverage of polygenic scores and health care in the future.
See also this New Scientist article on GP.
2019 may be the Year of the Designer Baby, if journos are to be believed ;-) Of course, this is sensationalism. It is more accurate to say that 2019 will see the first deployment of advanced genetic tests which can be used to screen against complex disease and health risks. Already today ~1 million IVF embryos per year are screened worldwide using less sophisticated genetic tests for single gene disease mutations and chromosomal abnormality.
The Economist:
In 2019, ... those with the cash to do so will have an opportunity to give their offspring a greater chance of living a long and healthy life.
"Expert" opinion seems to have evolved as follows:
1. Of course babies can't be "designed" because genes don't really affect anything -- we're all products of our environment!BBC wanted me for their Radio 4 Today show. I went in and recorded some clips, but the broadcast may be delayed due to all the Brexit excitement -- Theresa May has finally revealed the proposed EU-UK agreement her administration negotiated. Angry Brexiteer Tory MPs may vote her out. I had a ringside seat to all this thanks to my friend Dominic Cummings!
2. Gulp, even if genes do affect things it's much too complicated to ever figure out!
3. Anyone who wants to use this technology (hmm... it works) needs to tread carefully, and to seriously consider the ethical issues.
Only point 3 is actually correct, although there are still plenty of people who believe 1 and 2 :-(
Friday, November 09, 2018
DeepMind Talk: Genomic Prediction of Complex Traits and Disease Risks via Machine Learning
I'll be at DeepMind in London next week to give the talk below. Quite a thrill for me given how much I've admired their AI breakthroughs in recent years. Perhaps AlphaGo can lead to AlphaGenome :-)
Hope the weather holds up!
Title: Genomic Prediction of Complex Traits and Disease Risks via Machine Learning
Abstract: After a brief review (suitable for non-specialists) of computational genomics and complex traits, I describe recent progress in this area. Using methods from Compressed Sensing (L1-penalized regression; Donoho-Tanner phase transition with noise) and the UK BioBank dataset of 500k SNP genotypes, we construct genomic predictors for several complex traits. Our height predictor captures nearly all of the predicted SNP heritability for this trait -- actual heights of most individuals in validation tests are within a few cm of predicted heights. I also discuss application of these methods to cognitive ability and polygenic disease risk: sparsity estimates (of the number of causal loci), combined with phase transition scaling analysis, allow estimates of the amount of data required to construct good predictors. We can now identify risk outliers for conditions such as heart disease, diabetes, breast cancer, hypothyroidism, etc. using inexpensive genotyping. Finally, I discuss how these advances will affect human reproduction (embryo selection for In Vitro Fertilization (IVF); gene editing) in the coming decade.
Bio: Stephen Hsu is VP for Research and Professor of Theoretical Physics at Michigan State University. He is also a researcher in computational genomics and founder of several Silicon Valley startups, ranging from information security to biotech. Educated at Caltech and Berkeley, he was a Harvard Junior Fellow and held faculty positions at Yale and the University of Oregon before joining MSU.
Action Photos!
Wednesday, November 07, 2018
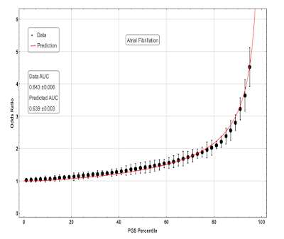
Validation of simultaneous preimplantation genetic testing (PGT) for aneuploidy, monogenic, and polygenic disorders (Dr. Nathan Treff, Genomic Prediction, Inc.)
Dr. Nathan Treff, co-founder of Genomic Prediction, at the 2018 American Society of Reproductive Medicine meeting. His talk introduces Expanded Pre-Implantation Genomic Testing (EPⓖT):
EPⓖT allows the routine, inexpensive evaluation of hundreds of thousands of genetic variants, implementing a novel combination of embryo genotyping methods not previously combined into a reproductive genetics application.At the American Society of Human Genetics (ASHG) meeting last month in San Diego, several people recognized me and came over to marvel at Genomic Prediction.
Universal coverage of common single-gene disorders, such as Cystic Fibrosis, Thalassemia, BRCA, Sickle Cell Anemia, and Gaucher Disease.
Complex disorders whose risk can be predicted include:
Type 1 Diabetes, Type 2 Diabetes, Coronary Artery Disease, Atrial Fibrillation, Breast Cancer, Hypothyroidism, Mental Disability, Idiopathic Short Stature, Inflammatory Bowel Disease
"Look at all these people walking around, with no idea what is happening right now... You guys are Creating the Future!"
From Comments:
John C. • 11 hours ago
What could be the use of predicting atrial fibrillation, coronary artery disease and Type 2 diabetes risk be? Tell people to not gain weight as they age?
−
Bobdisqus • 3 hours ago
Well as someone who had an ablation for AFIB, two stents in my RCA, and a family history that includes a brother with first heart attack at 38, and my father at 43 I would say the value is immense. Beyond that the extended family on both sides is rife with such. The number of men in my ancestry that made it past 70 is tiny. My children now have the option with a couple of rounds of egg harvesting which is well advised for my brood of daughters anyway given the human fertility curve and their plans for education to filter the worst of this scourge from our line going forward. Their sons can then anticipate fine old ages into their 90s much like the people of their Mother's line.
Tuesday, November 06, 2018
1 In 4 Biostatisticians Surveyed Say They Were Asked To Commit Scientific Fraud
In the survey reported below, about 1 in 4 biostatisticians were asked to commit scientific fraud. I don't know whether this bad behavior was more prevalent in industry as opposed to academia, but I am not surprised by the results.
I do not accept the claim that researchers in data-driven areas can be ignorant of statistics. It is common practice to outsource statistical analysis to people like the "consulting biostatisticians" surveyed below. But scientists who do not understand statistics will not be effective in planning future research, nor in understanding the implications of results in their own field. See the candidate gene and missing heritability nonsense the field of genetics has been subject to for the last decade.
I cannot count the number of times, in talking to a scientist with limited quantitative background, that I have performed -- to their amazement -- a quick back of the envelope analysis of a statistical design or new results. This kind of quick estimate is essential to understand whether the results in question should be trusted, or whether a prospective experiment is worth doing. The fact that they cannot understand my simple calculation means that they literally do not understand how inference in their own field should be performed.
Researcher Requests for Inappropriate Analysis and Reporting: A U.S. Survey of Consulting BiostatisticiansThis kind of behavior is consistent with the generally low rate of replication for results in biomedical science, even those published in top journals:
(Annals of Internal Medicine 554-558. Published: 16-Oct-2018. DOI: 10.7326/M18-1230)
Results:
Of 522 consulting biostatisticians contacted, 390 provided sufficient responses: a completion rate of 74.7%. The 4 most frequently reported inappropriate requests rated as “most severe” by at least 20% of the respondents were, in order of frequency, removing or altering some data records to better support the research hypothesis; interpreting the statistical findings on the basis of expectation, not actual results; not reporting the presence of key missing data that might bias the results; and ignoring violations of assumptions that would change results from positive to negative. These requests were reported most often by younger biostatisticians.
What is medicine’s 5 sigma? (Editorial in the Lancet)... much of the [BIOMEDICAL] scientific literature, perhaps half, may simply be untrue. Afflicted by studies with small sample sizes, tiny effects, invalid exploratory analyses, and flagrant conflicts of interest, together with an obsession for pursuing fashionable trends of dubious importance, [BIOMEDICAL] science has taken a turn towards darkness. As one participant put it, “poor methods get results”. The Academy of Medical Sciences, Medical Research Council, and Biotechnology and Biological Sciences Research Council have now put their reputational weight behind an investigation into these questionable research practices. The apparent endemicity of bad research behaviour is alarming. In their quest for telling a compelling story, scientists too often sculpt data to fit their preferred theory of the world. ...More background on the ongoing replication crisis in certain fields of science. See also Bounded Cognition.
Wednesday, October 31, 2018
Glenn Loury and Laurence Kotlikoff on the Harvard Trial (video)
Glenn Loury is Merton P. Stoltz Professor of the Social Sciences, Department of Economics, Brown University. Laurence J. Kotlikoff is a William Fairfield Warren Distinguished Professor and Professor of Economics at Boston University.
Video should start at @49:06 Glenn: Affirmative Action undermines black students’ dignity.
@95:27Yesterday David Card (Harvard's statistical expert in the Asian American discrimination trial) began his testimony. At least as reported in the Chronicle, he has yet to dispute Arcidiacono's (plaintiff expert) finding that among "unhooked" applicants (95% of applicants: not in the subset of legacies, recruited athletes, and major donor kids), Asian Americans are discriminated against relative to all others, including whites. I discuss this in detail here and here.
Kotlikoff: I think it's pretty obvious that at least based on the facts so far that Harvard probably did downgrade the personalities of the Asians in order to achieve ...
Glenn: [Interrupting] Well that's the ball game -- they discriminated. Civil Rights Act of 1960.
Card has questioned the legal relevance of Arcidiacono's finding (he does not want to consider unhooked applicants separately), but that is for the judge and lawyers to wrangle over (see excerpt below). As a statistical fact I have yet to see any claim from Harvard or Card that the result is incorrect.
Perhaps today's cross examination of Card will focus on this important question, which the media is largely ignoring.
From the SFFA brief:
"The task here is to determine whether “similarly situated” applicants have been treated differently on the basis of race; “apples should be compared to apples.” SBT Holdings, LLC v. Town of Westminster, 547 F.3d 28, 34 (1st Cir. 2008). Because certain applicants are in a special category, it is important to analyze the effect of race without them included. Excluding them allows for the effect of race to be tested on the bulk of the applicant pool (more than 95% of applicants and more than two-thirds of admitted students) that do not fall into one of these categories, i.e., the similarly situated applicants. For special-category applicants, race either does not play a meaningful role in their chances of admission or the discrimination is offset by the “significant advantage” they receive. Either way, they are not apples.
Professor Card’s inclusion of these applicants reflects his position that “there is no penalty against Asian-American applicants unless Harvard imposes a penalty on every Asian-American applicant.” But he is not a lawyer and he is wrong. It is illegal to discriminate against any Asian-American applicant or subset of applicants on the basis of race. Professor Card cannot escape that reality by trying to dilute the dataset. The claim here is not that Harvard, for example, “penalizes recruited athletes who are Asian-American because of their race.” The claim “is that the effects of Harvard’s use of race occur outside these special categories.” Professor Arcidiacono thus correctly excluded special-category applicants to isolate and highlight Harvard’s discrimination against Asian Americans. Professor Card, by contrast, includes “special recruiting categories in his models” to “obscure the extent to which race is affecting admissions decisions for those not fortunate enough to belong to one of these groups.” At bottom, SFFA’s claim is that Harvard penalizes Asian-American applicants who are not legacies or recruited athletes. Professor Card has shown that he is unwilling and unable to contest that claim.
[ Card and Arcidiacono have exchanged criticisms of the other's analysis already, so Card's lack of response on this specific point is worthy of attention. ]
UPDATE: The reporting below confirms what I wrote above. Card and Harvard maintain that looking specifically at unhooked applicants is irrelevant to the case, and do not dispute the statistical facts uncovered by SFFA regarding that group (95% of all applicants!). SFFA maintain (see case law cited above) that anti-Asian American discrimination in this category is itself a violation of law. Will any journalists report this part of the case, prominently discussed in the SFFA brief?
Chronicle: Card’s main objection to Arcidiacono’s model is that it omits recruited athletes, the children of alumni, the children of Harvard faculty and staff members, and students on a special list that includes children of donors. Excluding all those applicants, who are accepted at a relatively high rate, Card suggested, had skewed his counterpart’s results.
[ THIS EXCLUSION DID NOT "SKEW" THE RESULTS -- THE POINT IS THAT THIS ANALYSIS IS OF INTEREST IN AND OF ITSELF. SURELY THIS POINT WILL NOT BE LOST ON THE JUDGE. ]
Tuesday, October 30, 2018
Algorithms Rule Us All - VPRO documentary - 2018
ALGOS BAD!!! ... and these instances prove it ... ;-)
Global R&D ~$1 trillion per annum?
Federal R&D, which skews more toward basic research, is typically somewhat less than 1% of US GDP (~$100 billion per annum). See figure below.
WSJ: ... U.S.-based companies accounted for $329 billion of a record $781.8 billion in R&D spending tallied by PwC for the year ended June 30. While Chinese R&D investment came in at $61 billion, in 2010 that figure was just $7 billion, PwC said. Today, 145 Chinese companies are among the top 1,000 R&D spenders, up from 14 a decade ago.
... PwC’s figures don’t include private companies, however, which leaves out China’s state-owned monoliths and closely held Huawei Technologies Co., the world’s largest maker of telecommunications equipment. Huawei said it spent more than $13 billion on R&D last year.
Monday, October 29, 2018
Thomas Fingar: OBOR, TPP, China economic development and foreign policy
This is a thoughtful discussion of OBOR and TPP. @44min and following, an insider's account of economic rapprochement between the US and China starting in 1978. Also, some interesting comments on political reforms necessary to escape the middle income trap.
China is heavily investing in two infrastructure routes: a “21st Century Maritime Silk Road” stretching from Southern China across the Indian Ocean to connect Southeast Asia, South Asia, and Africa to the Mediterranean; and a land-based Silk Road Economic Belt connecting Western China to Europe via Central Asia. Establishing these transcontinental trade routes will likely cost over one trillion dollars and will cover 65% of the world's population. This investment could help fill a wide “infrastructure investment gap” in China and the 68 other Asian, African, and European countries it passes through, however, traditional international development actors such as multilateral investment banks and developed nations are concerned about the outcomes, terms, and process that come with this massive investment. There are still a number of questions surrounding how China might protect the route after it's built and if the benefits will outweigh the risk. Should recipient countries be worried about political strings that might come attached to OBOR projects? What impact does this different unilateral, loan-based model have on the recipient countries? How likely is China to succeed in achieving these grand investment goals and how will a project of this scale continue to contribute to China’s own growth? What type of impact does this project have on global trade in general?
Thomas Fingar (Wikipedia)
Born January 11, 1948 (age 70)
Education Cornell University (BA) Stanford University (MA, PhD)
Charles Thomas Fingar, born January 11, 1946, is a professor at Stanford University. In 1986 Fingar left Stanford to join the State Department. In 2005, he moved to the Office of the Director of National Intelligence as the Deputy Director of National Intelligence for Analysis and concurrently served as the Chairman of the National Intelligence Council until December 2008.[1] In January 2009, he rejoined Stanford University as a Payne Distinguished Lecturer in the Freeman Spogli Institute for International Studies.
Also worth a listen:
Friday, October 26, 2018
Harvard Admissions on Trial: Enter the Statisticians
Let's see if any other media outlets cover this very essential part of the trial -- the cross examination of each side's statistical experts. As far as I understand, the plaintiff's claim that "unhooked" Asian American applicants are discriminated against by Harvard relative to applicants of other ethnicities (including white applicants) is NOT DISPUTED by Harvard, nor by their statistical expert David Card (economist at Berkeley).
Chronicle: ...A main difference between the two economists’ analyses is which types of applicants they included. Arcidiacono excluded recruited athletes, the children of alumni, the children of Harvard faculty and staff members, and students on a “Dean’s List” made up partly of children of donors. Those applicants — about 7,000 out of the roughly 150,000 students in the six-year data set — are admitted at a much higher rate than the rest of the pool, which Arcidiacono said made them difficult to compare with the other applicants.Unhooked applicants make up 95% of all applicants, but only 2/3 of admits. Recruited athletes, legacies, rich donor kids, etc. are all admitted at much higher rates than ordinary kids -- while only 5% of the applicant pool they are 1/3 of the entering class!
The judge, Allison D. Burroughs of the Federal District Court, had some questions about the decision to omit that group. She wondered how many Asian-American applicants in those excluded categories are admitted. As it turned out, they are admitted at higher rates than the white applicants.
“It looks to me like what you’re arguing is you have an admissions office that’s discriminating against Asians, but they only do it in certain places,” she said. Arcidiacono agreed.
There has never been any claim that Asian Americans who are, e.g., nationally ranked athletes or children of billionaires are discriminated against. Eoin Hu, a Chinese American, was the star running back at Harvard when I was there! Jeremy Lin may have been denied D1 scholarships by Stanford and Berkeley despite being first-team All-State and Northern California Division II Player of the Year, but Harvard Basketball was very happy to have him.
Special status is a much stronger effect than Asian ethnicity, so including hooked applicants only dilutes the statistical effect found by Arcidiacono. Card insisted on lumping together hooked and unhooked applicants in his analysis and has not (to my knowledge) rebutted Arcidiacono's analysis. Reportedly, 86 percent of recruited athletes were admitted, 33.6 percent of legacy students were admitted, 42.2 percent of applicants on the Dean or Director’s List (major donor kids) were admitted, and 46.7 percent of children of faculty or staff were admitted. Compare this to an admit rate of ~5 percent for unhooked applicants. It is clear that these are different categories of applicants that should not be conflated.
If your kid is an unhooked applicant, you can infer much more about his or her prospects from Arcidiacono's analysis than from Card's. The former covers 95% of the pool and is not subject to large idiosyncratic and distortionary effects from the special 5% that are advantaged for reasons having nothing to do with academic merit or even personality and leadership factors.
From the SFFA brief (still uncontested?):
Professor Arcidiacono thus correctly excluded special-category applicants to isolate and highlight Harvard’s discrimination against Asian Americans. Professor Card, by contrast, includes “special recruiting categories in his models” to “obscure the extent to which race is affecting admissions decisions for those not fortunate enough to belong to one of these groups.” At bottom, SFFA’s claim is that Harvard penalizes Asian-American applicants who are not legacies or recruited athletes. Professor Card has shown that he is unwilling and unable to contest that claim.The question of how unhooked applicants are treated has been discussed in college admissions circles for some time. From 2006:
Inside Higher Ed covers a panel called “Too Asian?” at the annual meeting of the National Association for College Admission Counseling. Particularly telling are the comments of a former Stanford admissions officer about an internal study which found evidence of higher admission rates for white applicants over Asians of similar academic and leadership qualifications (all applicants in the study were "unhooked" - meaning not in any favored categories such as legacies or athletes).
Subscribe to:
Posts (Atom)
Blog Archive
-
▼
2018
(125)
-
▼
12
(10)
- IceCube: neutrino astronomy in Antarctica
- A Realist Appraisal of US Foreign Policy
- Advances in Genomic Prediction: Breast Cancer Risk...
- The Future of the U.S. Aircraft Carrier: Fearsome ...
- Music and Mathematics: Noam Elkies
- Paris 2018: Global Capital and Its Discontents
- Crude Awakening: The Yuan, the Dollar, and the Bat...
- The Quantum Theory of Fields
- Trading Blows: The US-China Trade War (Yukon Huang...
- The Future of IVF and Gene-Editing (Psychology Tod...
-
▼
12
(10)
Labels
- physics (346)
- genetics (280)
- finance (261)
- globalization (257)
- brainpower (246)
- technology (204)
- american society (193)
- genomics (193)
- China (179)
- economics (168)
- psychometrics (166)
- innovation (160)
- photos (159)
- science (159)
- psychology (147)
- ai (137)
- travel (133)
- universities (119)
- credit crisis (115)
- higher education (114)
- machine learning (112)
- biology (110)
- human capital (110)
- iq (103)
- startups (100)
- genetic engineering (98)
- cognitive science (97)
- careers (80)
- credit crunch (78)
- autobiographical (77)
- statistics (75)
- elitism (72)
- evolution (71)
- gilded age (71)
- income inequality (69)
- quantum mechanics (67)
- political correctness (65)
- genius (62)
- books (61)
- politics (61)
- social science (60)
- caltech (59)
- talks (59)
- geopolitics (58)
- mma (54)
- history of science (52)
- sci fi (51)
- bounded rationality (50)
- silicon valley (50)
- academia (49)
- harvard (49)
- kids (49)
- bgi (48)
- education (48)
- mathematics (47)
- podcasts (47)
- MSU (45)
- cdo (45)
- realpolitik (44)
- derivatives (42)
- behavioral economics (39)
- history (38)
- intellectual history (38)
- jiujitsu (38)
- literature (37)
- bubbles (36)
- mortgages (36)
- neuroscience (36)
- ufc (36)
- computing (35)
- film (35)
- physical training (35)
- bjj (33)
- expert prediction (32)
- google (32)
- hedge funds (32)
- foo camp (30)
- many worlds (30)
- race relations (30)
- affirmative action (29)
- black holes (29)
- economic history (29)
- quants (29)
- efficient markets (28)
- feynman (27)
- movies (27)
- nuclear weapons (27)
- sports (27)
- von Neumann (27)
- music (26)
- entrepreneurs (25)
- housing (25)
- obama (25)
- security (25)
- singularity (25)
- subprime (25)
- video (25)
- biotech (24)
- taiwan (24)
- berkeley (22)
- meritocracy (22)
- ultimate fighting (22)
- athletics (21)
- conferences (21)
- wall street (21)
- cds (20)
- quantum field theory (20)
- scifoo (20)
- internet (19)
- venture capital (19)
- blogging (18)
- gender (18)
- goldman sachs (18)
- treasury bailout (17)
- university of oregon (17)
- algorithms (16)
- cryptography (16)
- freeman dyson (16)
- new yorker (16)
- smpy (16)
- autism (15)
- cosmology (15)
- japan (15)
- oppenheimer (15)
- personality (15)
- happiness (14)
- height (14)
- wwii (14)
- chess (13)
- fitness (13)
- hedonic treadmill (13)
- probability (13)
- aspergers (12)
- christmas (12)
- india (12)
- les grandes ecoles (12)
- malcolm gladwell (12)
- net worth (12)
- nobel prize (12)
- privacy (12)
- social networks (12)
- television (12)
- blade runner (11)
- dna (11)
- entropy (11)
- geeks (11)
- neanderthals (11)
- nsa (11)
- string theory (11)
- ability (10)
- football (10)
- government (10)
- italy (10)
- mutants (10)
- nerds (10)
- olympics (10)
- philosophy of mind (10)
- pseudoscience (10)
- Einstein (9)
- Go (9)
- complexity (9)
- dating (9)
- encryption (9)
- eugene (9)
- flynn effect (9)
- harvard society of fellows (9)
- research (9)
- art (8)
- crossfit (8)
- data mining (8)
- determinism (8)
- james salter (8)
- keynes (8)
- manhattan (8)
- pca (8)
- philip k. dick (8)
- pop culture (8)
- real estate (8)
- robot genius (8)
- turing test (8)
- usain bolt (8)
- war (8)
- aig (7)
- alan turing (7)
- alpha (7)
- ashkenazim (7)
- basketball (7)
- energy (7)
- france (7)
- free will (7)
- fx (7)
- game theory (7)
- games (7)
- hugh everett (7)
- poker (7)
- qcd (7)
- russia (7)
- success (7)
- Fermi problems (6)
- anthropic principle (6)
- bayes (6)
- class (6)
- climate change (6)
- democracy (6)
- environmentalism (6)
- nassim taleb (6)
- noam chomsky (6)
- paris (6)
- patents (6)
- prostitution (6)
- quantum computers (6)
- tail risk (6)
- teaching (6)
- volatility (6)
- academia sinica (5)
- bobby fischer (5)
- cold war (5)
- econtalk (5)
- godel (5)
- information theory (5)
- iraq war (5)
- kasparov (5)
- luck (5)
- new york times (5)
- nonlinearity (5)
- perimeter institute (5)
- renaissance technologies (5)
- sad but true (5)
- software development (5)
- vietnam war (5)
- warren buffet (5)
- 100m (4)
- Iran (4)
- Poincare (4)
- bill gates (4)
- borges (4)
- cambridge uk (4)
- charles darwin (4)
- creativity (4)
- drones (4)
- fake alpha (4)
- feminism (4)
- global warming (4)
- hormones (4)
- humor (4)
- inequality (4)
- intellectual property (4)
- judo (4)
- kerviel (4)
- markets (4)
- microsoft (4)
- mixed martial arts (4)
- monsters (4)
- moore's law (4)
- rationality (4)
- solar energy (4)
- soros (4)
- trento (4)
- 200m (3)
- babies (3)
- brain drain (3)
- censorship (3)
- charlie munger (3)
- chet baker (3)
- correlation (3)
- demographics (3)
- ecosystems (3)
- equity risk premium (3)
- facebook (3)
- fannie (3)
- fst (3)
- intellectual ventures (3)
- jim simons (3)
- language (3)
- lee kwan yew (3)
- lewontin fallacy (3)
- lhc (3)
- magic (3)
- michael lewis (3)
- nathan myhrvold (3)
- neal stephenson (3)
- olympiads (3)
- path integrals (3)
- risk preference (3)
- search (3)
- sec (3)
- simulation (3)
- sivs (3)
- society generale (3)
- supercomputers (3)
- thailand (3)
- alibaba (2)
- assortative mating (2)
- bear stearns (2)
- bruce springsteen (2)
- charles babbage (2)
- cheng ting hsu (2)
- cloning (2)
- david mamet (2)
- digital books (2)
- donald mackenzie (2)
- eliot spitzer (2)
- empire (2)
- exchange rates (2)
- frauds (2)
- freddie (2)
- gaussian copula (2)
- heinlein (2)
- industrial revolution (2)
- james watson (2)
- ltcm (2)
- mating (2)
- mba (2)
- mccain (2)
- mit (2)
- monkeys (2)
- national character (2)
- nicholas metropolis (2)
- no holds barred (2)
- offices (2)
- oligarchs (2)
- palin (2)
- population structure (2)
- prisoner's dilemma (2)
- skidelsky (2)
- socgen (2)
- sprints (2)
- systemic risk (2)
- twitter (2)
- ussr (2)
- variance (2)
- virtual reality (2)
- abx (1)
- anathem (1)
- andrew lo (1)
- antikythera mechanism (1)
- athens (1)
- atlas shrugged (1)
- ayn rand (1)
- bay area (1)
- beats (1)
- book search (1)
- bunnie huang (1)
- car dealers (1)
- carlos slim (1)
- catastrophe bonds (1)
- cdos (1)
- ces 2008 (1)
- chance (1)
- children (1)
- cochran-harpending (1)
- computers (1)
- cpi (1)
- david x. li (1)
- dick cavett (1)
- dolomites (1)
- drugs (1)
- dune (1)
- eharmony (1)
- epidemics (1)
- escorts (1)
- faces (1)
- fads (1)
- favorite posts (1)
- fiber optic cable (1)
- francis crick (1)
- gary brecher (1)
- gizmos (1)
- greece (1)
- greenspan (1)
- hypocrisy (1)
- igon value (1)
- iit (1)
- inflation (1)
- information asymmetry (1)
- iphone (1)
- jack kerouac (1)
- jaynes (1)
- jfk (1)
- john dolan (1)
- john kerry (1)
- john paulson (1)
- john searle (1)
- john tierney (1)
- jonathan littell (1)
- las vegas (1)
- lawyers (1)
- lehman auction (1)
- les bienveillantes (1)
- lowell wood (1)
- lse (1)
- mcgeorge bundy (1)
- mexico (1)
- michael jackson (1)
- mickey rourke (1)
- migration (1)
- money:tech (1)
- myron scholes (1)
- netwon institute (1)
- networks (1)
- newton institute (1)
- nfl (1)
- oliver stone (1)
- phil gramm (1)
- philanthropy (1)
- philip greenspun (1)
- portfolio theory (1)
- power laws (1)
- pyschology (1)
- randomness (1)
- recession (1)
- sales (1)
- singapore (1)
- skype (1)
- standard deviation (1)
- star wars (1)
- starship troopers (1)
- students today (1)
- teleportation (1)
- tierney lab blog (1)
- tomonaga (1)
- tyler cowen (1)
- venice (1)
- violence (1)
- virtual meetings (1)
- war nerd (1)
- wealth effect (1)





































